このページの本文へ移動

四国森林管理局

    文字サイズ
    標準
    大きく
    メニュー

    嶺北森林管理署_八風呂五斗尻山243に

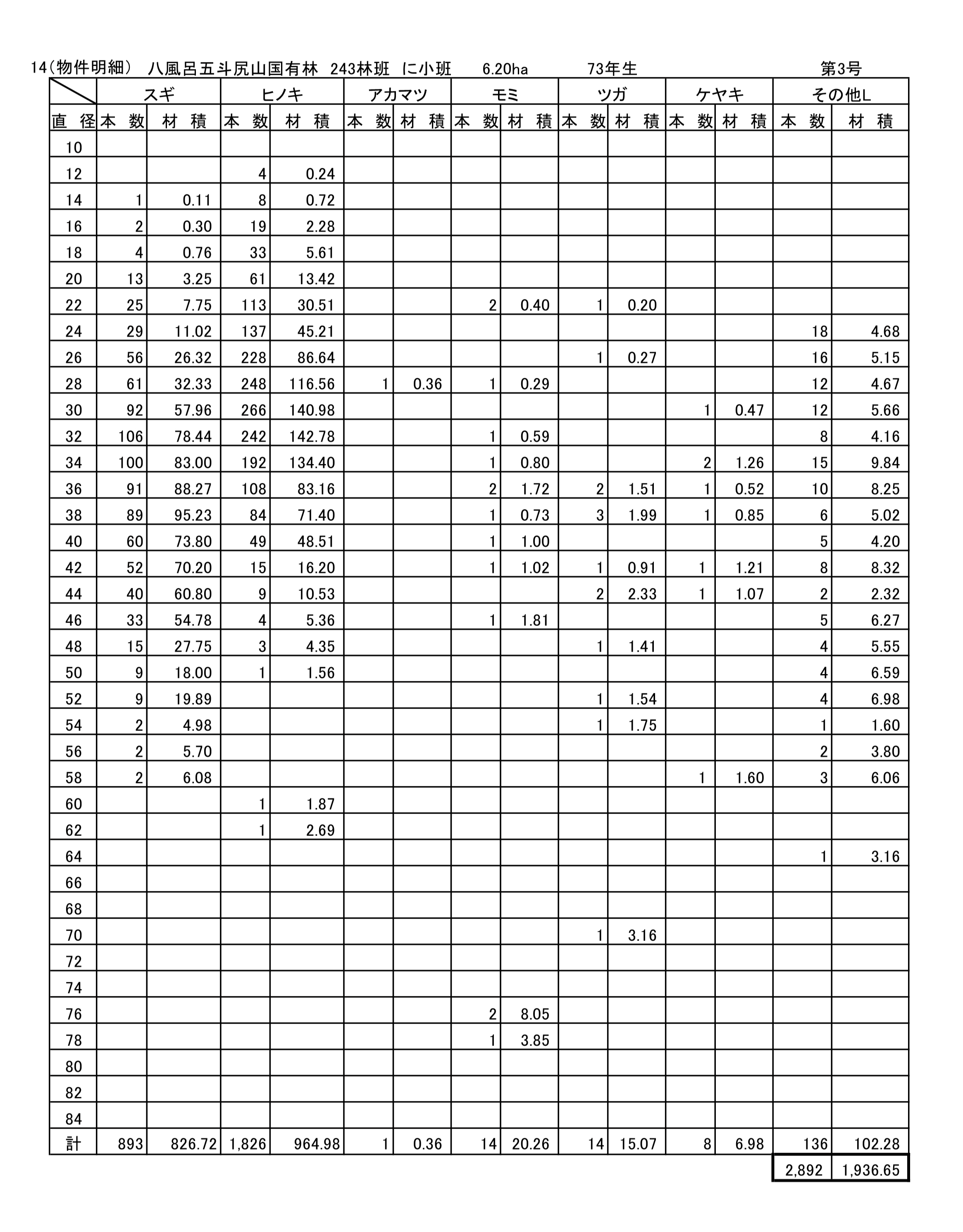
    1.販売物件明細書


    八風呂五斗尻山243に販売物件明細書

    八風呂五斗尻山243に販売物件明細書



    八風呂五斗尻山243に販売物件明細書



    八風呂五斗尻山243に販売物件明細書



     

    2.ドローン撮影画像


    八風呂五斗尻山243にドローン撮影画像

      

    3.360度カメラ画像

    八風呂五斗尻山243に360度カメラ写真

    お問合せ先

    森林整備部 資源活用課

    ダイヤルイン:088-821-2170